
Freeze drying is a common manufacturing process for food and pharmaceutical products. However, the freeze-drying system is rather complicated. Numerous problems, failures and deviations could take place during the operation of a freeze-drying plant.
The most common problems can be categorized into the following four types:
•Trouble before the evacuation starts
•Trouble requiring immediate action
•Trouble to be corrected automatically or manually in minutes
•Deviations to be documented
The analysis of problems and the required counteractions will depend on the operation principles of the operator, the value of a lyophilization charge, the sensitivity of the product to deviations from the set values, and several other factors. Nevertheless, an analysis of possible problems and a guideline for counteractions should be established for every freeze-drying plant as part of the instruction manual, even if it has to be adjusted for new products.
The following summary cannot be a complete list and reflects only the more likely events causing trouble.
Trouble before the evacuation starts:
These events can be avoided in most cases if the following start-up rules are used:
(1) The plant is evacuated down to the lowest operation pressure; if this pressure is reached, possible water or ice from the cleaning or sterilization is evaporated;
(2) The condenser is cooled to the operating temperature and the shelf heated to the maximum temperature during secondary drying;
(3) If the lowest operation pressure is reached again, the leak test can be done;
(4) The shelves are cooled back to the loading temperature and the plant is vented with a gas as specified (see Figures 1–3).

Figure 1 Pressure in the chamber and condenser as a function of time after both have been shut off from the pump set. 1, plot of pressure if no measurable gas is desorbed from the walls; 2, plot of pressure if desorption of gas stops after 2 h at a pressure of 0.08 mbar; 3, plot of pressure if desorption of gas stops after 3 h at a pressure of 0.14 mbar.

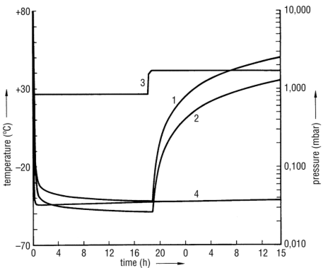
Figure 2 Pressure rise measurement in a plant evacuated for 18 h with heated shelves. Shelf temperature should not have been changed before measurement of the rise, because the temperature-dependent desorption has to be adapted to the new temperature level. 1, chamber pressure measured by heat conductivity vacuum gauge; 2, chamber pressure measured by capacitance manometer; 3, shelf temperature; 4, condenser temperature.

Figure 3 Detection of a leak by a helium leak detector. 1, chamber with a leak; 2, helium leak detector; 3, pressure bottle with helium; 4, vacuum pump system, evacuating the chamber; 5, helium spray pistol.
With this start-up, the most critical machine data are to be checked: no remaining ice, cooling and heating working, and leak rate acceptable. The procedure takes some time but minimizes problems occurring during the freeze-drying process.
Trouble requiring immediate action:
The most undesirable event is a power failure. In that case, the valve between vacuum pump and the condenser has to close automatically. If the power failure lasts only a few minutes, the condenser has a certain heat capacity to maintain the sublimation of ice. The tolerable time of power failure depends on the plant design.
A power failure exceeding the time limit is most critical during primary drying. In this case, a standby power generator with a start-up time of, for example, 1 min either for the operation of the whole plant or at least for the critical components is the only answer. The sequence of importance for the components can be as follows:
•Operation of a part of the pumping set to maintain the vacuum in the chamber and the condenser;
•Operation of a part of the refrigerant compressors or the injection of liquid nitrogen, if the condenser has a separate evaporator for it;
•Operation of a part of the cooling system for the shelves.
•Another undesirable event is air pressure due to a leak in the plant which reduces or stops the sublimation. The counteractions could be reduction of the shelf heating temperature to the minimum possible value and using the full pumping capacity or adding an auxiliary pump set.
If the loss of the product can be avoided by these steps, hunting for the leak could become possible (depending on the arrangement of the plant in the building). With experience it is possible to predict that leaks will not be generated through porous steel, but by seals in flanges or doors. The probability of newly developed leaks after the suggested start-up procedure has been used is 10–100 times smaller than without this test, but it cannot be fully excluded.
Trouble to be corrected automatically or manually in minutes:
The failure of the condenser compressors can be bearable for some time. For production plants, two smaller compressors are recommended rather than one large unit, as this permits the process to be continued with a prolonged drying time. On failure of the refrigerant compressors for the heat transfer fluid in the shelves, the shelf temperature will rise slowly, if the temperature is below room temperature. Stopping the heat transfer fluid pump(s) will slow this temperature rise during the main drying and the sublimation of ice will withdraw energy from the shelves. A failure of other components, for example, valves or gauges, could be compensated by replacements or standby units. For these types of failures, the plant must be operable and controllable completely manually.
With freeze-dryers used in production and also with pilot plants, all the critical plant components should be supplied redundant to make sure that the process can be continued if there is a mechanical or electrical failure. Redundancy is particularly advisable in the following cases:
•Vacuum pumps;
•Circulation pumps;
•Cooling system.
Deviations to be documented
All deviations from the preset data must be documented, even if they are within the given tolerances. For the important process data, not only is a comparison of the actual with the preset data recommended, but also a trend analysis should be installed. This permits the recognition of systematic deviations long before the tolerances are exceeded.
Example: The heat transfer fluid temperature is set at -30 ± 1 °C. The heat transfer fluid temperature has been for some time between -31 and -30.5 °C, and it rises, for example, in 2 h from this range to -30 and -29.5 °C. Warning of this trend is helpful. Either the pumping speed of the heat transfer fluid pump is reduced or the injection valve of the refrigerant has shifted or the refrigerant compressor has changed its capacity.
Analyze: The inspection system on the motor of the heat transfer fluid pump shows no warning; the temperature of the refrigerant before the injection valve is constant. It follows that the injection valve has shifted and should be adjusted.
As mentioned earlier, the issues listed above are not complete. During the operation of the freeze-drying plants, one could encounter much more problems. The experienced engineers of the AUSTAR group are glad to answer your questions and provide reliable solutions.